2020年我国经济发展新动能指数比上年增长35.3%
国家统计局 2021-07-26
为动态监测我国经济发展新动能变动情况,国家统计局统计科学研究所在《新产业新业态新商业模式统计监测制度》和经济发展新动能统计指标体系的基础上,采用定基指数方法测算了2020年我国经济发展新动能指数,并修订了2015-2019年历史指数数据。结果显示,2015-2020年我国经济发展新动能指数(以2014年为100)分别为119.6、146.9、191.2、257.9、325.5和440.3,分别比上年增长19.6%、22.8%、30.2%、34.9%、26.2%和35.3%。2020年,各项分类指数与上年相比均有提升,其中,网络经济指数增长最快,对总指数增长的贡献最大。
一、网络经济指数。2020年,网络经济指数为1323.6,比上年增长54.8%,对总指数增长的贡献率为81.7%。
二、经济活力指数。2020年,经济活力指数为324.1,比上年增长17.4%,对总指数增长的贡献率为8.4%。
三、创新驱动指数。2020年,创新驱动指数为239.1,比上年增长18.1%,对总指数增长的贡献率为6.4%。
四、知识能力指数。2020年,知识能力指数为163.7,比上年增长10.0%,对总指数增长的贡献率为2.6%。
五、转型升级指数。2020年,转型升级指数为150.7,比上年增长3.6%,对总指数增长的贡献率为0.9%。
2015-2020年经济发展新动能指数及分类指数(2014年=100)

2015-2020年经济发展新动能指数、分类指数及其增速

附件:经济发展新动能指数统计指标体系及测算方法
一、经济发展新动能指数统计指标体系
经济发展新动能指数是指以新产业、新业态、新商业模式(简称“三新”)为主要内容的统计指标体系,具体如下:

二、经济发展新动能指数测算方法
经济发展新动能指数是利用“三新”调查基础数据,采用线性加权的综合评价方法构建而成的复合指数,用来反映经济新动能发展的趋势和进程。为更好反映新动能的长期变化趋势,动态监测新动能的聚集过程,经济发展新动能指数测算方法为定基法,即以2014年为基期,指数值表示报告期与2014年相比经济发展新动能的变化趋势。具体步骤如下:
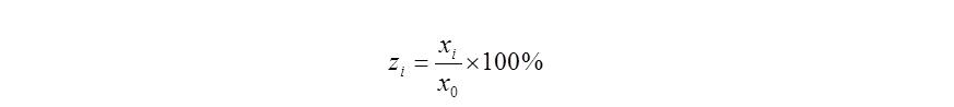
1.基础指标的标准化
基础指标的标准化处理为:

其中,为对应的指数,为报告期值,为基期值,本报告中指数选择的基期为2014年,即以2014年为100进行计算。
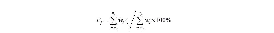
2.分类指数的计算
经济发展新动能指数的分类指数计算公式为:

其中,为的权数,为第个分类指数值,为第个类别中第1个基础指标在整个指标体系中的序数,为第个类别中最后1个基础指标在整个指标体系中的序数。
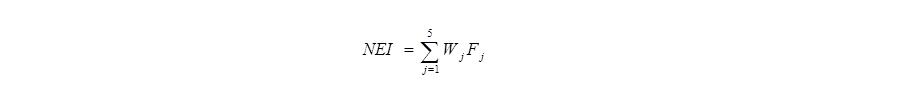
3.经济发展新动能指数的计算
计算公式为:

其中,NEI为经济发展新动能指数,为分类指数的权数。
4.分类指数对总指数增长贡献率的计算

三、2020年指数测算其它相关说明
1.2020年部分指标根据当年初步数或预计数测算。
2.根据近年来“三新”经济发展的新情况新特点,本次测算对原有经济发展新动能统计指标体系进行修订完善,并根据最新指标体系对2014-2019年经济发展新动能指数做出修订。